Forsaken Motorsport BMW S1000RR K67 (19-26) için Lineer Saptırma
Forsaken Motorsport BMW S1000RR K67 (19-26) için Lineer Saptırma
Son 1 adet!
Lineer Yönlendirme – BMW S1000RR K67 (2019–2026) için Forsaken Motorsport
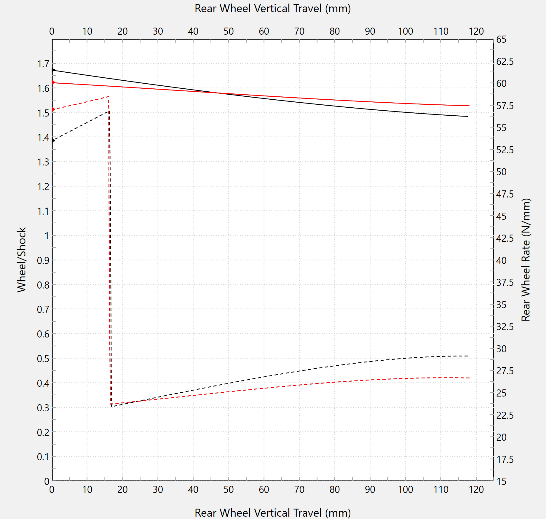
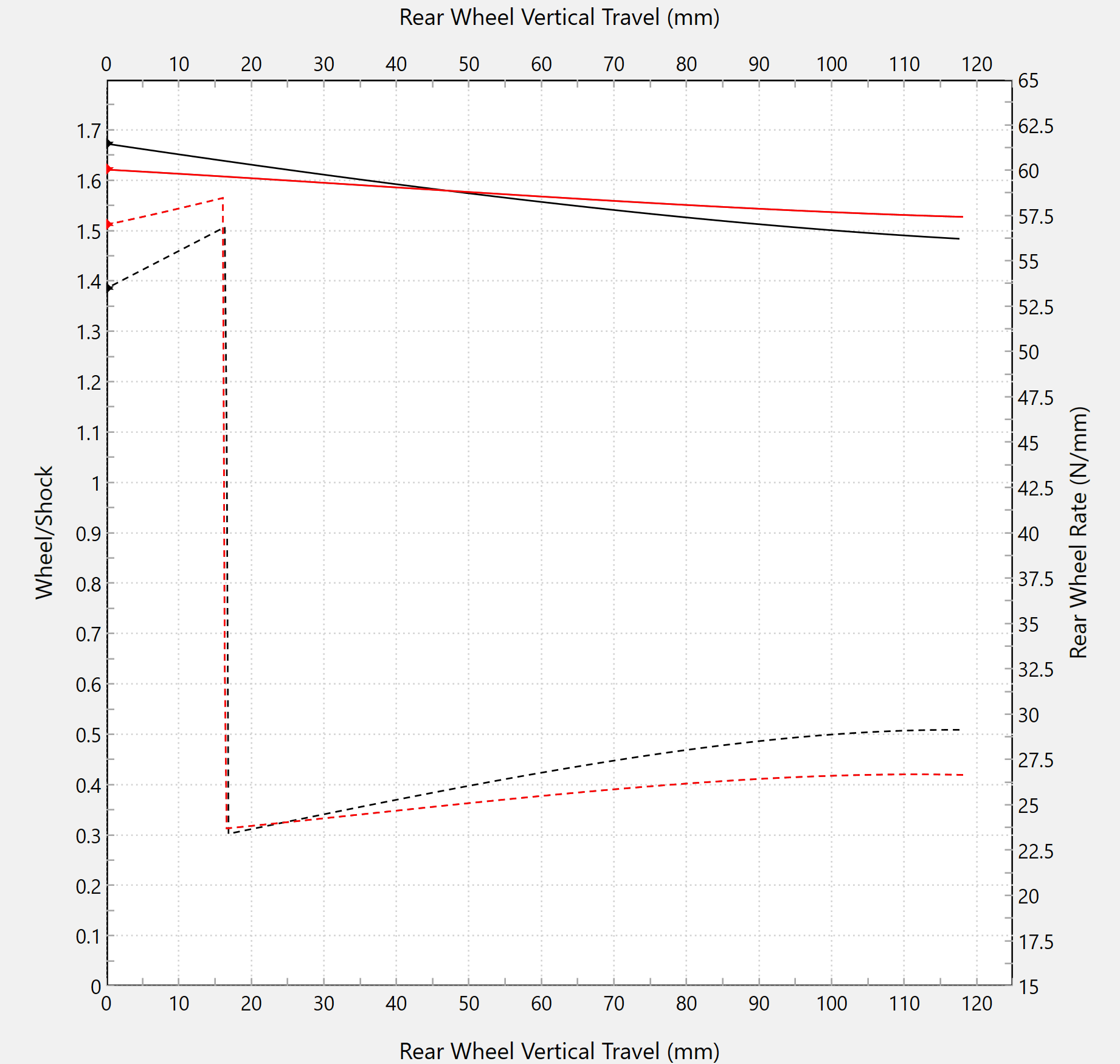
Forsaken Motorsport'un lineer yönlendirmesi, özel olarak BMW S1000RR K67 (2019–2026) için geliştirilmiştir. Optimize edilmiş süspansiyon oranı ve yüksek kaliteli işçilik ile daha iyi çekiş ve güç aktarımı sunar – zorlu sürücüler için idealdir.
Özellikler ve Avantajlar:
- Optimize Edilmiş Süspansiyon Oranı:
- Progressif süspansiyon oranını daha lineer bir hale dönüştürerek daha iyi çekiş ve güç aktarımı sağlar.
- Kesin Üretim:
- Forsaken Motorsport'un Kanada'daki tesislerinde, Haas VM3 ile bir alüminyum bloktan CNC işlenmiştir.
- Yüksek Stabilite:
- Orijinal yönlendirmeden %35 daha sert, yük altında deformasyonları minimize eder.
- Ayarlanabilir:
- Seri yay hâlâ kullanılabilir, ancak sürücü tercihine göre değiştirilebilir.
- Ventil kontrolü ve shimstack, daha düz yönlendirme oranının optimal kullanımı için ayarlanabilir.
- Kolay Montaj:
- Yeni BMW yatakları ile birlikte teslim edilir; orijinal vidalar, manşonlar ve contalar yeniden kullanılabilir.
Teknik Veriler:
- Kitteki Bileşenler:
- Yönlendirme kolu.
- Yönlendirme kolu.
- Not:
- Yalnızca tek sürüş operasyonu için uygundur, yolcu sürüşü yoktur!
Teslim alma durumu yüklenemedi
Hakkımızda
Hakkımızda
Kalite ve yenilik tutkumuz, motosiklet tutkunları için en iyi ürünleri ve hizmetleri sunmamızı sağlıyor. Özel yüksek performanslı parçalardan, özelleştirilmiş çözümlere kadar – sürüş deneyiminiz bizim için her şeyin merkezinde.
Gönderim ve İade
Gönderim ve İade
DHL ve FedEx ile gönderim yapıyoruz - istek üzerine ekspres olarak da. Bir ürün stokta varsa, ekspres gönderim çoğu durumda 1 iş günü içinde yapılabilir. Normal teslimat süresi yurt içinde yaklaşık 2-5 iş günü, dünya genelinde genellikle yaklaşık 1 haftadır. Ülkeye göre farklı kargo şirketleri sunduğumuz için lütfen sepetinizdeki mevcut gönderim seçeneklerini ve sürelerini kontrol edin.
İadeler önceden e-posta ile bildirilmelidir ve iptal politikamız gereğince mümkündür (14 gün iade talebi + onaydan sonra 14 gün geri gönderim süresi). Lütfen dikkat edin: Bildirilmemiş iadeler kabul edilmez. Şartlar, istisnalar ve iadelerle ilgili tüm detayları iptal politikamızda bulabilirsiniz.
Ödeme bilgileriniz güvenli bir şekilde işlenir. Kredi kartı bilgilerinizi saklamıyoruz ve kredi kartı bilgilerinize erişimimiz yoktur.
Sıkça Sorulan Sorularda daha fazla bilgi
Ekibimize bir e-posta yaz - mümkün olan en kısa sürede sana geri döneceğiz.
Siparişim ne kadar sürede işlenir?
Siparişim ne kadar sürede işlenir?
Ürün stokta varsa, siparişini genellikle çok hızlı bir şekilde işleriz, çoğu zaman aynı gün kargoya verilir.
İşleme sürelerimiz Pazartesi'den Cuma'ya, 07:30 - 16:30 saatleri arasındadır.
Uluslararası gönderim yapıyor musunuz?
Uluslararası gönderim yapıyor musunuz?
Evet, dünya genelinde gönderim yapıyoruz. Gönderim, ülkeye ve seçime bağlı olarak DHL veya FedEx ile yapılmaktadır.
İade politikanız nedir?
İade politikanız nedir?
İadeler önceden e-posta ile bildirilmelidir. Ürünü teslim aldıktan sonra 14 gün içinde bir iade talep edebilir ve onaylandıktan sonra 14 gün daha iade için zamanınız vardır.
Önemli: Bildirilmemiş iadeler kabul edilmez. Tüm detayları İptal Politikamızda bulabilirsiniz.
"Teslim süresi isteğe bağlı" ne anlama geliyor?
"Teslim süresi isteğe bağlı" ne anlama geliyor?
"Teslim süresi isteğe bağlı" ifadesi, ürünün genellikle doğrudan stokta olmadığı ve gerekirse özel olarak sipariş edilmesi gerektiği anlamına gelir. Lütfen satın almadan önce bizimle iletişime geçin - mevcut durumu kontrol ederiz ve tahmini teslim süresini bildiririz.
Ekspres gönderim sunuyor musunuz?
Ekspres gönderim sunuyor musunuz?
Evet, ekspres gönderim sunuyoruz. Bir ürün stokta ise, gönderim birçok durumda 1 iş günü içinde yapılabilir (ülkeye ve gönderim seçeneğine bağlı olarak). Mevcut gönderim yöntemlerini alışveriş sepetinde görebilirsiniz.

